CONSECUENCIAS DE LA SPECIAL RELATIVITY 2.0
A
partir de este importante matiz conceptual se pueden “predecir” diferencias
respecto de los resultados “relativistas” convencionales.
En
primer lugar la velocidad de la luz en el vacío (c) no es un invariante. El
matiz es que “parece invariante”, visto con la óptica de la mecánica clásica.
Es evidente que la adición de velocidades de la mecánica clásica no funciona,
ya que el “operador matemático” que rige el funcionamiento del universo no es
tan simple como Newton imaginó. Pero ese “operador matemático”, tampoco podía
ser tan ilógico como Einstein propuso.
Todo
este ensayo se perdería como “mis lagrimas en las gotas de esta lluvia” (Blade
Runner) si los datos no avalasen lo que aquí está escrito. Está claro que en la
primera mitad del siglo XX los aparatos de medida no tenían la precisión
suficiente para discernir entre el “error de medición” y el “margen de
diferencia” entre las velocidades de dos haces de luz. Sin embargo, el operador
matemático de
Podría
demostrarse que la velocidad de la luz no es un invariante rehaciendo el experimento
de Michelson y Morley, pero utilizando las bases predictivas de
Podría
demostrarse que la velocidad de la luz no es un invariante comprobando que el
valor de “c” varía dependiendo del sistema de referencia del observador.
Podría
demostrarse que la velocidad de la luz no es un invariante comprobando que la
luz violeta viaja más rápido que la luz roja.
Es
probable, y supongámoslo por tanto, que la “velocidad real” Vm a la que la luz viaja alcance valores
del orden de 10000c, 100000c ó 1000000c. Estos valores son por ahora
suposiciones imprecisas derivadas de los diversos resultados obtenidos por
Michelson en sus cuarenta años de experimentación.
La
lógica nos induce a pensar que, en el vacío, la velocidad de la luz será
diferente para cada frecuencia, dado que es conocido que la energía de los
fotones también varía dependiendo de la frecuencia del haz luminoso. Si los
fotones viajasen a la misma velocidad, dado un suceso policromático acaecido en
un lugar lejano, al observador le llegarían simultáneamente todas las
frecuencias del suceso. Pero si los fotones viajasen a diferentes velocidades,
las emisiones violetas y ultravioletas llegarían antes que las rojas e
infrarrojas al ojo del observador, aunque con unas exiguas diferencias
observables, resultado de aplicar no la mecánica clásica, sino una mecánica
relativista.
A
partir de este argumento, una fuente policromática o blanca lejana debería
proporcionarnos datos reveladores.
Suponiendo
que la luz violeta viaje mucho más rapido que la luz roja, la observación de la explosión
de una estrella, o el examen del desplazamiento de un cuerpo estelar lejano
deberían darnos resultados definitivos si utilizamos instrumentos de medición
ultraprecisos.

Primer
resultado
La
escena correspondiente al momento de la explosión (en expansión) de una estrella
y cualquiera de las posteriores escenas de veloz expansión implicaría una
emisión policromática que, tras años de viaje por el espacio, tendría retardos
muy pequeños pero notables en función de las frecuencias. Así, las imagenes
violeta y ultravioleta llegarían antes que las mismas imágenes rojas e
infrarrojas a nuestros telescopios. Y por tanto, en un primer ciclo de
observación, la explosión debería verse algo así como en “violeta y negro”,
monocromáticamente, para ir pasando a una visión desfasada de la misma escena
de la explosión en las diferentes frecuencias. Finalmente, obtendríamos la
escena de la explosión en rojos e infrarrojos.
Pero
para cuando esta explosión infrarroja fuese visible, la escena violeta ya
presentaría un estado más avanzado de la explosión. En cualquier caso, los
extremos visibles de la estrella explotando siempre serían con tonos violetas.

Seis momentos diferentes de una explosión.
Por simplificar se ha supuesto una explosión esférica y blanca (todas las
frecuencias visibles).

Los seis momentos anteriores vistos con retraso de frecuencias.
Se han diferenciado las frecuencias en el
dibujo, pero en realidad serían frecuencias añadidas
dando lugar a colores combinados, de forma que
cuando llegase el rojo, el resultado visual sería blanco,
es decir, la adición de todas las
frecuencias.

En esta animación se presenta una
simulación de cómo sería vista la explosión.
A la izquierda la explosión con los colores
azul, verde y rojo llegando desfasados.
A la derecha la explosión con los colores
azul, verde y rojo llegando desfasados, pero
en los colores resultantes de la adición de
frecuencias.
(Para
repetir la animación refresca la página)
Segundo
resultado
Utilicemos
el mismo razonamiento que en la predicción anterior. En el desplazamiento
transversal al observador de un cuerpo estelar luminoso y policromático,
deberían observarse estelas en el sentido contrario al desplazamiento
semejantes a las producidas por la difracción. Así, un cuerpo estelar que se
desplace de izquierda a derecha será observado como una franja de “arco iris”
recombinada. La parte violeta a la derecha y la roja a la izquierda, y en
adición de colores. Esto es debido de nuevo a que la imagen violeta llegará a
nuestros telescopios mínima, pero apreciablemente, antes que la roja.

Desplazamiento del cuerpo policromático del
punto 1 al punto 2

La llegada retardada de las diferentes
frecuencias producirá algo así como una estela

Aquí se presenta una simulación suponiendo
una fuente tricromática desplazándose (emitiendo en rojo, verde y azul).
EJEMPLO
DE CALCULO DE LOS PEQUEÑOS DESFASES
Supongamos
la explosión de una estrella sita a 10 años luz de la tierra.
10 años
luz = 10. c. 365 . 24 .3600 = 315360000c = 9,4608.1016 metros (aprox.)
Supongamos
que la velocidad real Vm de la luz azul (Blue)
fuese 108c.
VmB=108c
Primero,
y con el objetivo de acostumbrarnos a usar

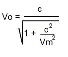
Como ya
sabemos, el valor observado para el desplazamiento de la luz siempre parece ser
“c”, hecho que originó precisamente el primer axioma de la relatividad de
Einstein. Podemos corroborar que con el supuesto de “VmB=108c” el
valor observado para el desplazamiento de un haz azul sería imperceptiblemente
inferior a “c”.
A
continuación calcularemos el tiempo que tardará la luz azul en llegar hasta
nosotros:
TmB
=Espacio recorrido / VmB =
315360000c / 108c =
3,1536 segundos
Este
resultado podría ser coherente incluso con la relatividad especial. Salvo que
Einstein hablaba de una supuesta contracción del tiempo cuando se viaja a
velocidades cercanas a la de la luz, y la en
El
“tiempo del observador” en este caso es el tiempo que mediremos para el
trayecto de la luz azul, que es:
ToB
=Espacio recorrido / VoB =
315360000c / c = 315360000 segundos = 10 años
Este resultado
es el lógicamente esperado, ya que partíamos de una estrella a la que situamos
a 10 años luz, y obviamente observaremos que la luz deberá tardar 10 años en
llegar. Pero intentaremos afinar un poco más en la aproximación, ya que
pretendemos calcular el desfase de tiempos entre la luz azul y la roja.
Para
ello usaremos el valor sin “aproximar” de VoB:

Y así
el tiempo observado para la luz azul será:
ToB
=Espacio recorrido / VoB = 315360000 . 1,000000000000000005 = 315360000,0000000015768
segundos
Este
resultado es cerca de 2 nanosegundos mayor que el anterior, es decir tardaría
¡10 años y 1,5768 nanosegundos!. Y ahora, sigamos con
Como sabemos
que la energía de la radiación electromagnética es proporcional a la frecuencia
de la onda en estudio, la relación de las energías cinéticas de los fotones vendrán establecidas por los cuadrados de las velocidades:
En el
caso de la radiación azul: EB = h. fB = ½ m
VB2
En el
caso de la radiación roja: ER = h. fR = ½ m
VR2
Por lo
tanto:
fR / fB = VR2 / VB2
Y
entonces la velocidad real de la luz roja debería ser:
VmR2 = VmB2 . fR / fB
VmR = VmB
. SQR(fR / fB)
Conociendo
la frecuencia de la luz azul (750. 1012 Hz.) y de la luz roja (440. 1012 Hz.),
obtendremos que, para VmB=108c
:
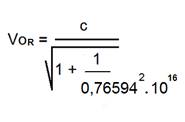
VmR = 0,76594. VmB
= 0,76594. 108c
Es
interesante descubrir que la luz roja es cerca de un 24% más lenta que la
violeta. Aunque a nivel de velocidad observada sea prácticamente idéntico su
valor.
Podemos
ver que el valor observado para la luz roja es:

De
nuevo casi imperceptiblemente inferior a “c”.
Pero
usando:

ToR
=Espacio recorrido / VoR = 315360000 . 1,0000000000000000085227647980733=
315360000,0000000026877segundos
Este
resultado es cerca de 3 nanosegundos superior a 10 años, es decir hemos
calculado que la luz roja tardaría ¡10 años y 2,6877 nanosegundos! en llegar.
Lo que
significa que para una velocidad estimada de 108c para la luz azul, la luz roja
llegaría con unos 1111 picosegundos de retraso. Imperceptibles?.
UN
EXPERIMENTO PLAUSIBLE : UN ESPEJO EN
Supongamos
que colocamos un espejo en la luna y calculamos el tiempo de ida y vuelta de un
haz laser azul. Repetimos la experiencia para un haz laser rojo.
Supongamos
una distancia de ida y vuelta entre las superficies de
Supongamos
que la velocidad real Vm de la luz azul fuese 102c .
VmB=102c
Primero,
y de nuevo con el objetivo de
acostumbrarnos a usar


Como ya
sabíamos, el valor observado para la luz azul es casi imperceptiblemente
inferior a “c”.
A
continuación calcularemos el tiempo que tardará la luz azul en llegar hasta
nosotros:
El
“tiempo del observador” en este caso es el tiempo que mediremos para el trayecto
de la luz azul, que si suponemos VoB = c,
es obvio:
ToB
=Espacio recorrido / VoB = 2,5c
/ c = 2,5 segundos
Pero
intentaremos afinar un poco más en la aproximación, ya que pretendemos calcular
el desfase de tiempos entre la luz azul y la roja.
Para
ello usaremos SR 2.0 y el valor mas preciso de VoB:

Y así
el tiempo observado para la luz azul será:
ToB
=Espacio recorrido / VoB = 2,5 . 1,00004999875= 2,500124996875156240235 segundos
Bien,
sigamos con
Como
sabemos que la energía de la radiación electromagnética es proporcional a la
frecuencia de la onda en estudio, la relación de las energías cinéticas de los fotones
vendrán establecidas por los cuadrados de las
velocidades:
En el
caso de la radiación azul: EB = h. fB = ½ m
VB2
En el
caso de la radiación roja: ER = h. fR = ½ m
VR2
Por lo
tanto:
fR / fB = VR2 / VB2
Y entonces
la velocidad real de la luz roja debería ser:
VmR2 = VmB2 . fR / fB
VmR = VmB
. SQR(fR / fB)
Conociendo
la frecuencia de la luz azul (750. 1012 Hz.) y de la luz roja (440. 1012 Hz.),
obtendremos que, para VmB=102c
:
VmR = 0,76594. VmB = 0,76594 . 102c
Y
entonces tendremos que el valor observado para la luz roja es:

De
nuevo casi imperceptiblemente inferior a “c”.
Pero
calculemos el tiempo que tardará la luz roja en recorrer los 2,5 segundos luz
para un observador terrestre:
ToR =Espacio
recorrido / VoR = 2,5 . 1,0000852240164142459146115916056=
2,500213060041035614786528979014 segundos
Lo que
significa que para un valor estimado de velocidad real para un haz laser azul
de 102c, la
luz roja llegaría con un perceptible y medible retraso de unos 88 microsegundos
en el viaje Tierra/Luna.
A
continuación se presenta una tabla con posibles velocidades reales de la onda
luminosa azul y los retardos aproximados que deberían observarse para la luz
roja. Obviamente, si suponemos inferiores valores de VmB, los
retardos de la luz roja son mas perceptibles.
|
VELOCIDAD REAL Vm DE |
RETARDO PREVISTO PARA |
|
VmB = 103c |
88
.10-8
segs. |
|
VmB = 104c |
88
.10-10
segs. |
|
VmB = 105c |
88
.10-12
segs. |
|
VmB = 106c |
88
.10-14
segs. |
|
VmB = 107c |
88
.10-16
segs. |
|
VmB = 108c |
88
.10-18
segs. |
|
VmB = 109c |
88
.10-20
segs. |
Si
algún dia somos capaces de ejecutar el experimento (que puede simplificarse
utilizando un espejo en un satélite), y medir el retraso de la luz roja frente
a la azul, no solo certificaremos la validez de
A Santos F. Laserna
Production – 2011